Выберите класс▼

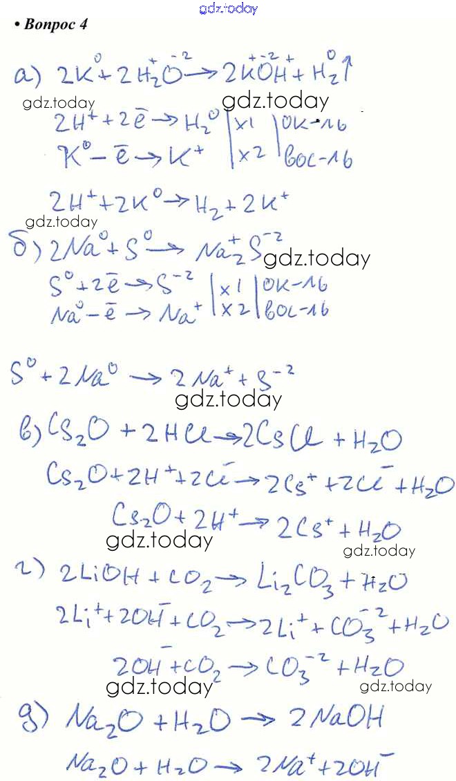
Ответы к Решение к §30 4 Учебнику по Химии для 9 класса Габриелян, Остроумов Просвещение 2021

  • Решение к §29
  • 9 10 11 12
    • Используйте дополнительную информацию
    • 1
На страницах сайта gdz.today вы найдете учебный и вспомогательный материал, направленный на улучшения знаний школьной программы. ГДЗ - онлайн мир знаний Решение к §30 4 Учебнику по Химии для 9 класса Габриелян, Остроумов Просвещение 2021