Выберите класс▼

Ответы к Решение к §36 3 Учебнику по Химии для 9 класса Габриелян, Остроумов Просвещение 2021

  • Решение к §37
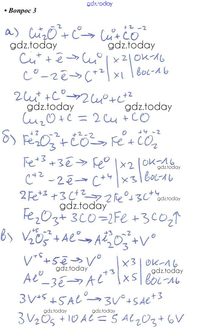
  • 1
На страницах сайта gdz.today вы найдете учебный и вспомогательный материал, направленный на улучшения знаний школьной программы. ГДЗ - онлайн мир знаний Решение к §36 3 Учебнику по Химии для 9 класса Габриелян, Остроумов Просвещение 2021