Ответы к Вопросы Решение к §41 4 Учебнику по Химии для 9 класса Кузнецова, Титова Вентана-граф Алгоритм успеха 2019
-
Решение к §39
-
Решение к §40
-
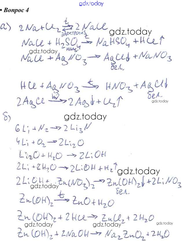
Решение к §41
-
Решение к §42
На страницах сайта gdz.today вы найдете учебный и вспомогательный материал, направленный на улучшения знаний школьной программы. ГДЗ - онлайн мир знаний Вопросы Решение к §41 4 Учебнику по Химии для 9 класса Кузнецова, Титова Вентана-граф Алгоритм успеха 2019