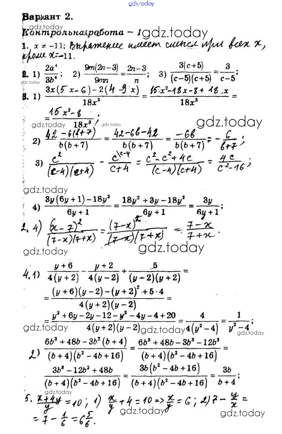
Ответы к КР-1. Основное свойство рациональной дроби. Сложение и вычитание рациональных дробей Решение к контрольным работам вариант 2 Дидактическим материалам по Алгебре для 8 класса Мерзляк, Полонский Вентана-граф Алгоритм успеха 2016
-
Решение к упражнениям
-
Решение к контрольным работам
На страницах сайта gdz.today вы найдете учебный и вспомогательный материал, направленный на улучшения знаний школьной программы. ГДЗ - онлайн мир знаний КР-1. Основное свойство рациональной дроби. Сложение и вычитание рациональных дробей Решение к контрольным работам вариант 2 Дидактическим материалам по Алгебре для 8 класса Мерзляк, Полонский Вентана-граф Алгоритм успеха 2016