Выберите класс▼

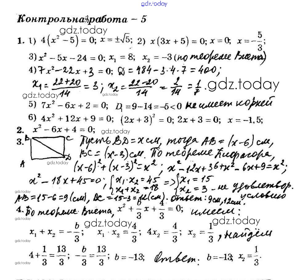
Ответы к КР-5. Квадратные уравнения. Теорема Виета Решение к контрольным работам вариант 2 Дидактическим материалам по Алгебре для 8 класса Мерзляк, Полонский Вентана-граф Алгоритм успеха 2016

  • Решение к контрольным работам
    • КР-1. Основное свойство рациональной дроби. Сложение и вычитание рациональных дробей
    • вариант 2
    • КР-2. Умножение и деление рациональных дробей. Тождественные преобразования рациональных дробей
    • вариант 1 вариант 2
    • КР-6. Квадратный трехчлен. Решение уравнений, сводящихся к квадратным уравнениям. Решение задач с помощью рациональных уравнений
    • вариант 1 вариант 2
На страницах сайта gdz.today вы найдете учебный и вспомогательный материал, направленный на улучшения знаний школьной программы. ГДЗ - онлайн мир знаний КР-5. Квадратные уравнения. Теорема Виета Решение к контрольным работам вариант 2 Дидактическим материалам по Алгебре для 8 класса Мерзляк, Полонский Вентана-граф Алгоритм успеха 2016