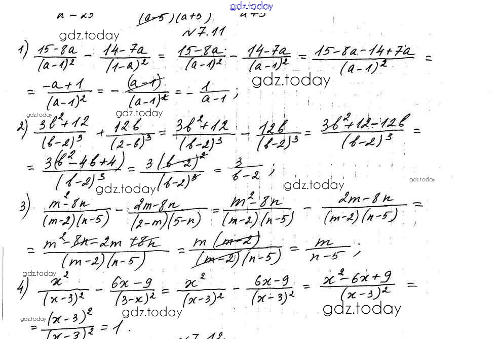
Ответы к §7. Сложение и вычитание рациональных дробей с одинаковыми знаменателями Решение к главе 2. Рациональные выражения 11 Учебнику по Алгебре для 8 класса Мерзляк, Поляков Углубленный уровень Вентана-граф Алгоритм успеха 2020
-
Решение к главе 2. Рациональные выражения
На страницах сайта gdz.today вы найдете учебный и вспомогательный материал, направленный на улучшения знаний школьной программы. ГДЗ - онлайн мир знаний §7. Сложение и вычитание рациональных дробей с одинаковыми знаменателями Решение к главе 2. Рациональные выражения 11 Учебнику по Алгебре для 8 класса Мерзляк, Поляков Углубленный уровень Вентана-граф Алгоритм успеха 2020