Выберите класс▼

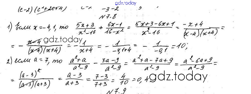
Ответы к §7. Сложение и вычитание рациональных дробей с одинаковыми знаменателями Решение к главе 2. Рациональные выражения 8 Учебнику по Алгебре для 8 класса Мерзляк, Поляков Углубленный уровень Вентана-граф Алгоритм успеха 2020

  • Решение к главе 2. Рациональные выражения
    • §6. Основное свойство рациональной дроби
    • 40
На страницах сайта gdz.today вы найдете учебный и вспомогательный материал, направленный на улучшения знаний школьной программы. ГДЗ - онлайн мир знаний §7. Сложение и вычитание рациональных дробей с одинаковыми знаменателями Решение к главе 2. Рациональные выражения 8 Учебнику по Алгебре для 8 класса Мерзляк, Поляков Углубленный уровень Вентана-граф Алгоритм успеха 2020