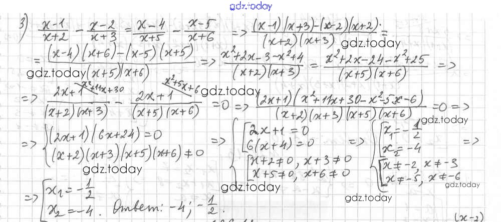
Ответы к §36. Решение уравнений, сводящихся к квадратным уравнениям Решение к главе 6. Квадратные уравнения 11 Учебнику по Алгебре для 8 класса Мерзляк, Поляков Углубленный уровень Вентана-граф Алгоритм успеха 2020
-
Решение к главе 6. Квадратные уравнения
На страницах сайта gdz.today вы найдете учебный и вспомогательный материал, направленный на улучшения знаний школьной программы. ГДЗ - онлайн мир знаний §36. Решение уравнений, сводящихся к квадратным уравнениям Решение к главе 6. Квадратные уравнения 11 Учебнику по Алгебре для 8 класса Мерзляк, Поляков Углубленный уровень Вентана-граф Алгоритм успеха 2020