Выберите класс▼

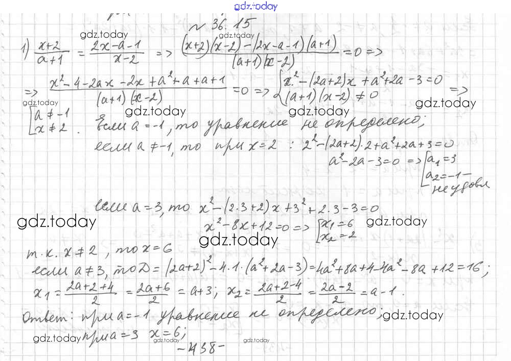
Ответы к §36. Решение уравнений, сводящихся к квадратным уравнениям Решение к главе 6. Квадратные уравнения 15 Учебнику по Алгебре для 8 класса Мерзляк, Поляков Углубленный уровень Вентана-граф Алгоритм успеха 2020

  • Решение к главе 6. Квадратные уравнения
    • §37. Решение уравнений методом замены переменной
    • 1 2
На страницах сайта gdz.today вы найдете учебный и вспомогательный материал, направленный на улучшения знаний школьной программы. ГДЗ - онлайн мир знаний §36. Решение уравнений, сводящихся к квадратным уравнениям Решение к главе 6. Квадратные уравнения 15 Учебнику по Алгебре для 8 класса Мерзляк, Поляков Углубленный уровень Вентана-граф Алгоритм успеха 2020