Ответы к Вариант 2 Пр-8 1 Учебнику по Химии для 8 класса Габриелян Дрофа Вертикаль 2019
-
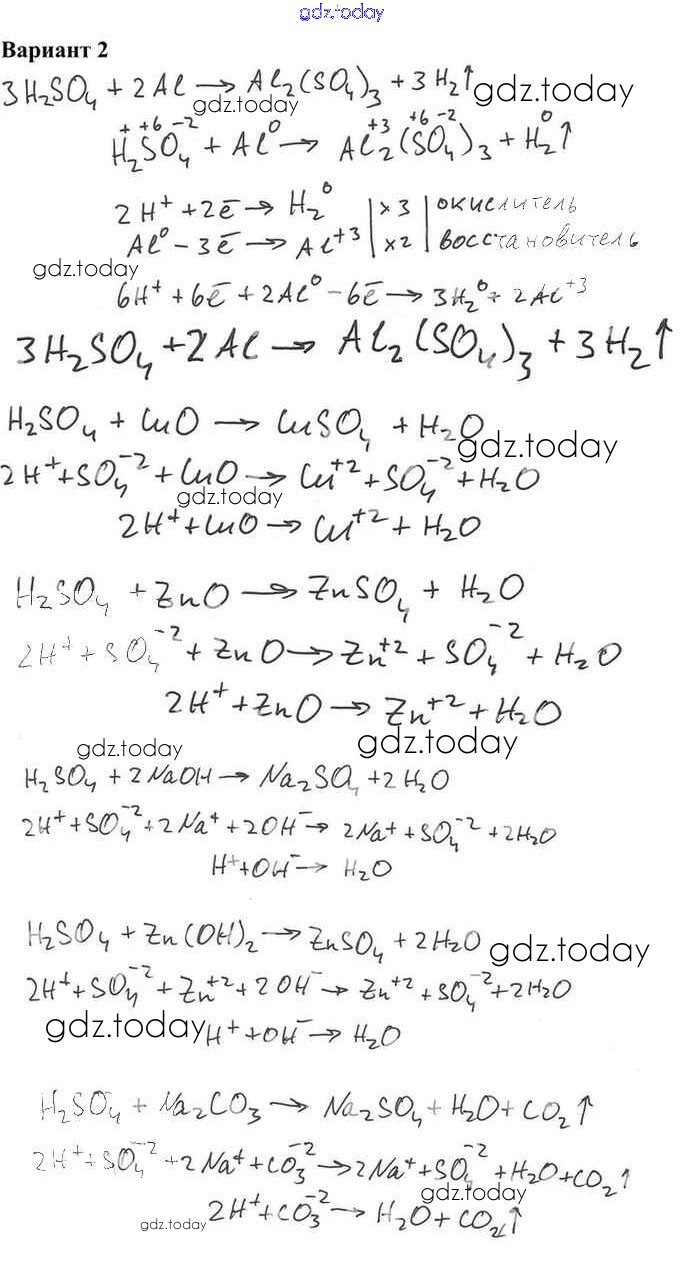
Решение к практическим работам
На страницах сайта gdz.today вы найдете учебный и вспомогательный материал, направленный на улучшения знаний школьной программы. ГДЗ - онлайн мир знаний Вариант 2 Пр-8 1 Учебнику по Химии для 8 класса Габриелян Дрофа Вертикаль 2019