Ответы к Пр-9 Решение к практическим работам 4 Учебнику по Химии для 8 класса Габриелян Дрофа Вертикаль 2019
-
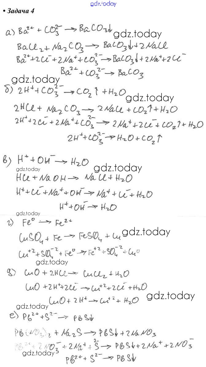
Решение к практическим работам
-
Решение к лабораторным работам
1
2
3
4
5
6
На страницах сайта gdz.today вы найдете учебный и вспомогательный материал, направленный на улучшения знаний школьной программы. ГДЗ - онлайн мир знаний Пр-9 Решение к практическим работам 4 Учебнику по Химии для 8 класса Габриелян Дрофа Вертикаль 2019