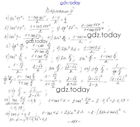
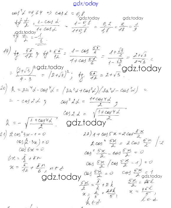
Ответы к §30. Синус, косинус и тангенс половинного угла Решение к главе 5. Тригонометрические формулы вариант 2 Дидактическим материалам по Алгебре для 10 класса Шабунин, Ткачева Базовый и углубленный уровень Просвещение 2017
-
Решение к главе 5. Тригонометрические формулы
-
Решение к главе 6. Тригонометрические уравнения
На страницах сайта gdz.today вы найдете учебный и вспомогательный материал, направленный на улучшения знаний школьной программы. ГДЗ - онлайн мир знаний §30. Синус, косинус и тангенс половинного угла Решение к главе 5. Тригонометрические формулы вариант 2 Дидактическим материалам по Алгебре для 10 класса Шабунин, Ткачева Базовый и углубленный уровень Просвещение 2017