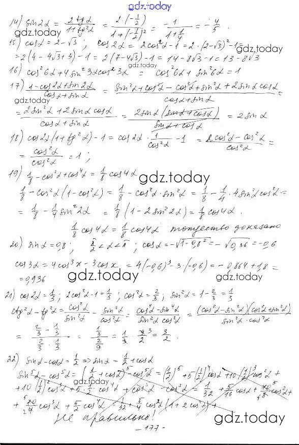
Ответы к §29. Синус, косинус и тангенс двойного угла Решение к главе 5. Тригонометрические формулы вариант 2 Дидактическим материалам по Алгебре для 10 класса Шабунин, Ткачева Базовый и углубленный уровень Просвещение 2017
-
Решение к главе 5. Тригонометрические формулы
На страницах сайта gdz.today вы найдете учебный и вспомогательный материал, направленный на улучшения знаний школьной программы. ГДЗ - онлайн мир знаний §29. Синус, косинус и тангенс двойного угла Решение к главе 5. Тригонометрические формулы вариант 2 Дидактическим материалам по Алгебре для 10 класса Шабунин, Ткачева Базовый и углубленный уровень Просвещение 2017