Ответы к §28. Формулы сложения Решение к главе 5. Тригонометрические формулы вариант 2 Дидактическим материалам по Алгебре для 10 класса Шабунин, Ткачева Базовый и углубленный уровень Просвещение 2017
-
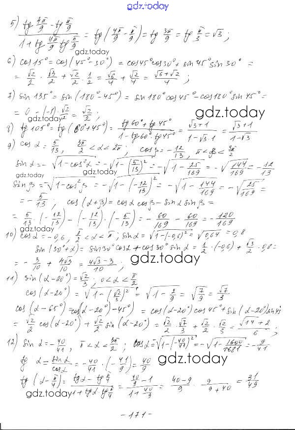
Решение к главе 5. Тригонометрические формулы
На страницах сайта gdz.today вы найдете учебный и вспомогательный материал, направленный на улучшения знаний школьной программы. ГДЗ - онлайн мир знаний §28. Формулы сложения Решение к главе 5. Тригонометрические формулы вариант 2 Дидактическим материалам по Алгебре для 10 класса Шабунин, Ткачева Базовый и углубленный уровень Просвещение 2017